🏡 网站首页
📖 玄经幽记
🧮 杂学拾趣
🌿 药香浅忆
🏋🏻 武之艺道
💬 閒言碎語
🗂 资料下载
👨🏻💻 關於我們
搜索
🏡 网站首页
📖 玄经幽记
🧮 杂学拾趣
🌿 药香浅忆
🏋🏻 武之艺道
💬 閒言碎語
🗂 资料下载
👨🏻💻 關於我們
道拙笔记安卓APP下载
资料库资料下载
首页
玄经幽记
道教经典
三洞真经
洞玄灵宝经
正文
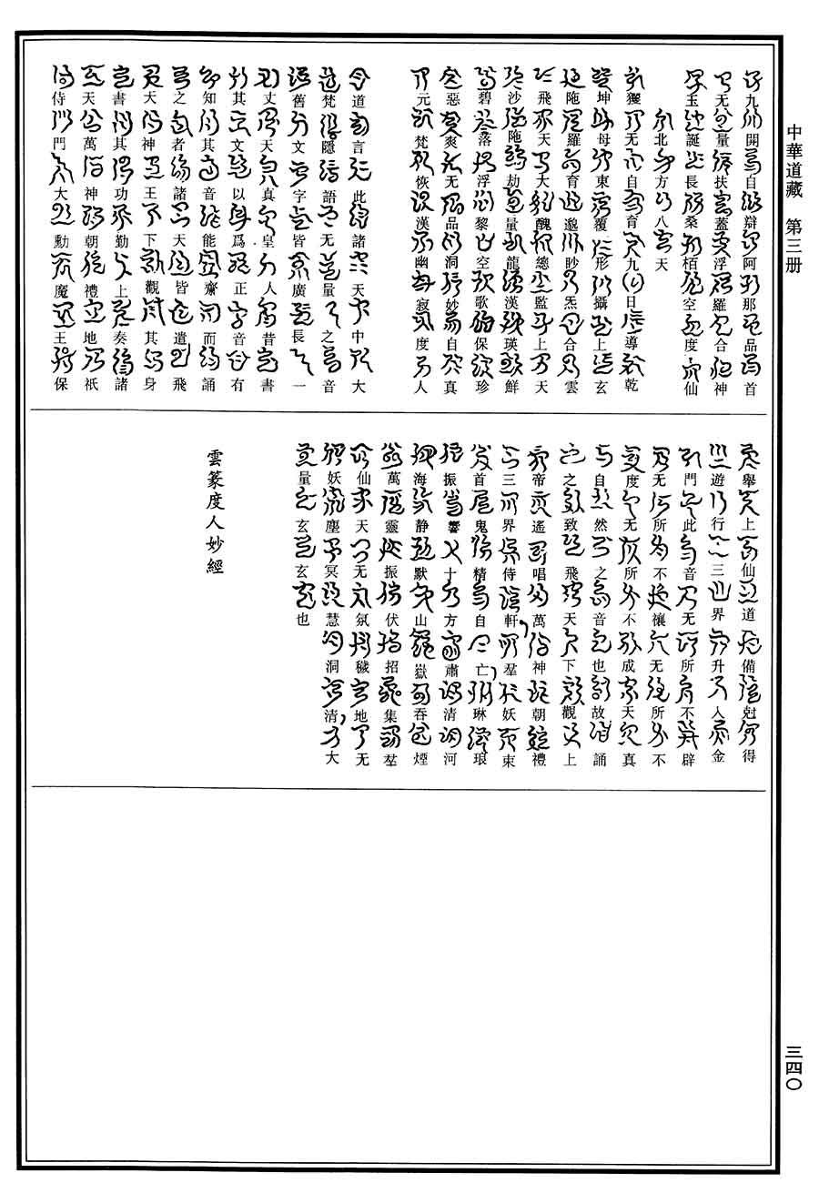
云篆度人妙经
177
次阅读
共计 11 个字符,预计需要花费 1 分钟才能阅读完成。
云篆度人妙经 原书图片版
正文完
使用官方微信公众号体验更多功能
1
太上洞玄灵宝元始无量度人上品妙经(敦煌本)
上一篇
洞玄灵宝度人经大梵隐语疏义
下一篇
文章搜索
劉法進
道拙之記 匯道智之淵藪
一言一句话
-「
」
最新文章
聊聊躲春那些事
《磻溪集》序(金/丘处机 撰)
《存神炼气铭》(隋唐时期/孙思邈 著)
《授陆敬游十赉文》(南北朝/陶弘景 著)
《云宫法语》(元/汪可孙 著)
最新评论
白云
可惜现在没多少人愿意沉下心琢磨这些
无生无死
好多人以为修道就是躲山里清闲,殊不知先把人做好、把戒守好,才是修道的第一步,这道理真该多讲讲。
杜先生
道长这篇真是说到我心坎里了!现在太多人把道教理解成耍帅、搞玄学,没人沉下心看经持戒。真心盼着宗门能好好整顿,多些讲经弘道的,让正信的道教能被更多人看见!
瞰云楼主人
这文章像给道教拍了个“素颜照”,平时滤镜开太大,看惯了美颜(各种神秘玄妙的宣传),突然看到高清无修的原图(经教戒律的本分),有点不适应,但不得不说,这才是真容。
敬佑
提到张至顺老道长那段很真实,老爷子想普传点好东西,结果被各路“懂王”指指点点,现在网上是真传的没人看,假课的卖爆了
宸泓源熙
戒律是地基
晨光
弘教那段太真实了
无鱼得水
现在很多“道友”的日常抖音符咒教学,微信接单算命,知乎大战佛教
休
经藏是阶梯,戒律是地基
小道缘
“师父找徒弟”这话,本来挺严肃一事儿,现在成了多少江湖混子的遮羞布啊。“不是我不教,是你没缘分”,其实自己肚子里也没啥真货,就等着“有缘(钱)人”呢。
道拙笔记
文章搜索
劉法進
道拙之記 匯道智之淵藪
一言一句话
-「
」
最新文章
聊聊躲春那些事
《磻溪集》序(金/丘处机 撰)
《存神炼气铭》(隋唐时期/孙思邈 著)
《授陆敬游十赉文》(南北朝/陶弘景 著)
《云宫法语》(元/汪可孙 著)
最新评论
白云
可惜现在没多少人愿意沉下心琢磨这些
无生无死
好多人以为修道就是躲山里清闲,殊不知先把人做好、把戒守好,才是修道的第一步,这道理真该多讲讲。
杜先生
道长这篇真是说到我心坎里了!现在太多人把道教理解成耍帅、搞玄学,没人沉下心看经持戒。真心盼着宗门能好好整顿,多些讲经弘道的,让正信的道教能被更多人看见!
瞰云楼主人
这文章像给道教拍了个“素颜照”,平时滤镜开太大,看惯了美颜(各种神秘玄妙的宣传),突然看到高清无修的原图(经教戒律的本分),有点不适应,但不得不说,这才是真容。
敬佑
提到张至顺老道长那段很真实,老爷子想普传点好东西,结果被各路“懂王”指指点点,现在网上是真传的没人看,假课的卖爆了
宸泓源熙
戒律是地基
晨光
弘教那段太真实了
无鱼得水
现在很多“道友”的日常抖音符咒教学,微信接单算命,知乎大战佛教
休
经藏是阶梯,戒律是地基
小道缘
“师父找徒弟”这话,本来挺严肃一事儿,现在成了多少江湖混子的遮羞布啊。“不是我不教,是你没缘分”,其实自己肚子里也没啥真货,就等着“有缘(钱)人”呢。